Project
PFAS sorption to reactive soil components
As excellent surfactants, Per- and polyfluoroalkyl substances (PFAS) have been widely used. In recent years, PFAS has attracted global attention because of their biotoxicity and ubiquity. Soil is an important storage and transport medium for PFAS. The behaviour of PFAS in soil is not yet well understood. In this research, the adsorption of PFAS on reactive soil components will be studied, for which corresponding mechanistic models will be developed to describe the chemical speciation and solid/liquid distribution of PFAS.
Background
Per/poly-fluoroalkyl substances (PFAS) have been used for various applications in industrial and consumer products in the past decades. Considerable amounts of PFAS are being detected globally in the atmosphere, soil, water and even in living organisms and human tissues. Studies on exposure to PFAS show that these substances can pose potential threats to humans and other organisms, which attracted wide attention from governments and the general public.
Considering the exchange between the hydrosphere/biosphere and the terrestrial system, it is important to understand PFAS behaviour in soils, especially regarding the solid/solution partitioning and transportation of PFAS. This knowledge will facilitate the determination of geochemical reactivity of PFAS in soils, which in turn can be useful for assessing the environmental risk and setting threshold for PFAS in soils.
Description
In this research, the adsorption of PFAS on soil organic matter and metal (hydr)oxides will be studied. Humic acid will be chosen as the analogue of soil organic matter.Ferrihydrite (Fh) and goethite (Gh) will be chosen as representatives of the metal (hydr)oxides. The adsorption behaviour of PFAS on humic acid, ferrihydrite and goethite will be quantified by batch adsorption experiments and the external mechanistic models will be developed to predict or describe the adsorption behaviour of PFAS on humic acid, ferrihydrite and goethite as a function of different solution conditions such as pH and ionic strength as well as the presence of competing/synergistic ions.
Results
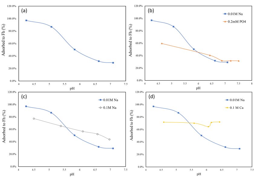
In our preliminary results of PFOS adsorption onto ferrihydrite, it show a strong influence of the pH, ionic strength, competing and synergistic ions on PFOS adsorption onto ferrihydrite (Figure 1):
- PFOS to ferrihydrite with decreasing adsorption with increasing pH which is due to a decreasing positive surface charge of the Fh with increasing pH;
- When pH is lower than 6, the adsorption of PFOS onto ferrihydrite decreased in the presence of phosphate due to a lower positive surface charge of Fh with adsorbed phosphate;
- Adsorption of PFOS onto ferrihydrite decreases with increasing ionic strength below pH 5.5, whereas the effect is opposite above pH 5.5;
- When pH is higher than 5.5, the adsorption of PFOS onto ferrihydrite increased with the addition of Ca2+;
- The pH-dependence of PFOS adsorption onto Ferrihydrite was suppressed by the addition of Ca2+.